11月24日下午,大数据学院党总支通过线下线上结合的方式召开了本年度理论学习中心组第六次集体学习,深入学习党的十九届六中全会精神和党章。 首先,学院党总支书记陈恩红领学了十九届六中全会公报,指出党的十九届...
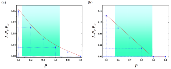
11月22日,中国科大郭光灿院士团队在高维量子通信研究中取得重要进展,该团队李传锋、柳必恒研究组与电子科技大学王子竹教授、奥地利高小钦博士、Miguel Navascués教授等合作,首次实现了高维量子纠缠态的最优检测。...
11月19日晚,首届中国科大“寰宇杯”英文演讲比赛决赛在东区物质科研楼三楼会议室举行。此次演讲比赛由国际合作与交流部、党委学生工作部、本科生院、研究生院、国际学院、校团委联合举办,旨在落实立德树人根本任务...
11月23日上午,环境科学与工程系在东区计算小楼308党员之家召开系党总支理论学习中心组2021年度第九次集中学习会议,深入学习党的十九届六中全会内容和精神,在校系党总支理论学习中心组成员参加会议,系党总支书记张...
11月18日-19日,中国科大—香港城大第十四届在线博士生学术论坛暨何稼楠学术会议奖学金颁奖典礼在我校成功举办。中国科大研究生院常务副院长龚流柱、香港城市大学周亦卿研究生院副院长李国耀出席论坛开幕式并致辞。两...